IIA-CIA-Part3 試験問題 61
データ通信システム内の2つのデバイスが通信している場合、データと制御情報の両方をパッケージ化して解釈する方法について合意が必要です。このタイプの契約を説明するために一般的に使用される用語は次のうちどれですか?
IIA-CIA-Part3 試験問題 62
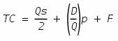
経済発注量Qは、総在庫コストを最小化する注文のサイズです。これらのコストは、注文と保持のコストで構成され、次の式を使用して計算できます。

TC=総在庫コストQ=各注文のサイズD=単位での年間需要F=1つの注文の固定費P=1つの注文の変動費S=1つの在庫単位の年間保有(運搬)コスト
組織では、次のインベントリ情報を利用できます。
年間需要(D)20.000ユニット1回の注文の変動費(P)US $ 100ユニットあたりの保有コスト(S)$ 1経済発注量(Q)2.000ユニット注文の固定費$ 0

TC=総在庫コストQ=各注文のサイズD=単位での年間需要F=1つの注文の固定費P=1つの注文の変動費S=1つの在庫単位の年間保有(運搬)コスト
組織では、次のインベントリ情報を利用できます。
年間需要(D)20.000ユニット1回の注文の変動費(P)US $ 100ユニットあたりの保有コスト(S)$ 1経済発注量(Q)2.000ユニット注文の固定費$ 0
IIA-CIA-Part3 試験問題 63
内部監査活動は、ベンダーへの支払いの異常と潜在的な不正指標を特定することを目的としたデータ分析モデルを試験的に実施しています。試験運用モデルの成功を評価するための最も適切な基準は次のうちどれですか。
IIA-CIA-Part3 試験問題 64
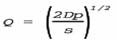
経済発注量は、注文と持ち運びのコストを含む総在庫コストを最小化する注文のサイズです。これは、次の式を使用して計算できます。

Q =単位での注文サイズ、D =単位での年間需要、p =発注書あたりのコスト、s=1つの在庫単位の年間の運送費。年間需要が369/o減少した場合、最適な注文サイズは次のようになります。

Q =単位での注文サイズ、D =単位での年間需要、p =発注書あたりのコスト、s=1つの在庫単位の年間の運送費。年間需要が369/o減少した場合、最適な注文サイズは次のようになります。
IIA-CIA-Part3 試験問題 65
大規模な小売顧客は、1ユニットあたり7ドルの特別価格で10,000ユニットを購入することを申し出ました。メーカーは通常、各ユニットを10ドルで販売しています。可変製造コストはユニットあたり5ドルで、固定製造コストは
ユニットあたり3ドル。メーカーがオファーを受け入れるために、次の仮定のどれが正しい必要がありますか?
ユニットあたり3ドル。メーカーがオファーを受け入れるために、次の仮定のどれが正しい必要がありますか?

